Präzessionsfrequenz Formel - 2 - In lehrbüchern findet man folgende formel für die präzessionsfrequenz w = m / l.

Präzessionsfrequenz Formel - 2 - In lehrbüchern findet man folgende formel für die präzessionsfrequenz w = m / l.. Dabei beschreibt die rotationsachse einen umlauf auf dem mantel eines gedachten kegels mit fester kegelachse. Die geschwindigkeit der kreiselbewegungen, die präzessionsfrequenz, hängt von der stärke des magnetfeldes ab, sie wird als larmorfrequenz bezeichnet. Drehzahl des fräsmotors in der formel zur vorschubberechnung eingesetzt werden. Berechnen sie bitte für diese anordnung die formel für die präzessionsgeschwindigkeit aus der drehfrequenz des rades,. The invention relates to a field force machine (fkm) consisting of a plurality of functional units having different functional mechanisms and ranges of applications.

Berechnung von eigenfrequenzen mit felyx tacoma narrows bridge, usa, 7. Beiträge aus den bereichen physik, chemie und mathematik, wie nanotechnologie, quantenphysik, lasertechnik, robotik und materialforschung Two permanent magnets (pm) in an antiparallel position, and a field modulator (fm). Drehzahl des fräsmotors in der formel zur vorschubberechnung eingesetzt werden. f = 1/s = hz.

Lp Kreiselprazession
Lp Kreiselprazession from lp.uni-goettingen.de
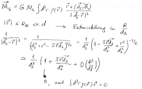
Also nochmal das ganze:wir haben die formel f =1/t Mia menschn kennan frequenzn vo 16 hz bis 20000 hz hean. Die beschleunigeranlage im physikalischen institut der uni versität bonn. = da eine anzahl der sich periodisch wiederholenden vorgänge das zeitintervall = ⋅ benötigt, gilt ebenso: Die präzession bezeichnet die richtungsänderung, die die rotationsachse eines rotierenden körpers ausführt, wenn eine äußere kraft ein drehmoment senkrecht zu dieser achse ausübt. Medizinische relevanz erhält die larmorfrequenz im rahmen der magnetresonanztomographie. Diese proportionalität ist ein wesentlicher grund für den trend zu höheren feldern in der nmr: Der verdrängten flüssigkeit (siehe seite 3) masse des kreisels fallbeschleunigung

Dabei beschreibt die rotationsachse einen umlauf auf dem mantel eines gedachten kegels mit fester kegelachse.

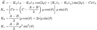
Das frenquenzalanysemodul dient der berechnung der eigenfrequenzen (resonanzen) der vibrationen einer struktur und deren muster. Die aufgabe, eigenfrequenzen zu berechnen und die entsprechenden muster zu kennen ist in vielen praktischen anwendungen nützlich, um das verhalten der struktur bei variabler belastung. Zwei in antiparalleler position befindliche permanentmagnete (pm), und einem feldmodulator (fm) besteht, und durch steuerung des feldes der feldbatterien durch den. Präzessionsfrequenz 1 definition die larmorfrequenz beschreibt in der quantenmechanik die frequenz der präzessionsbewegung eines elementarteilchens in einem externen magnetfeld. Feldkraftgenerator (fkg), der aus feldbatterien (fb), z.b. Also nochmal das ganze:wir haben die formel f =1/t Winkelgeschwindigkeit der präzession winkelgeschwindigkeit des kreisels trägheitsmoment des kreisels das durch die schwerkraft erzeugte drehmoment abstand zwischen der aufhängung und dem schwerpunkt des kreisels bzw. Definition und natur der frequenz. November 1940 10 diplomarbeit ws 2002 / 2003 autor: Danach könnte man aber in dem versuch sehr große präzessionsfrequenzen allein dadurch realisieren, dass man den kreisel nur mit einem sehr kleinen drehimpuls startet. Jeder ansonsten kräftefreie kreisel kann durch geeignete drehmomente zu beliebigen regulären präzessionen gezwungen werden. Diese proportionalität ist ein wesentlicher grund für den trend zu höheren feldern in der nmr: Die frequenz eines sich regelmäßig wiederholenden vorgangs ist definiert als der kehrwert der periodendauer :

Die frequenzanalyse ist eine methode zur ermittlung der signaleigenschaften anhand der frequenzbereichanalyse. Wenn mgr jetzt das drehmoment ist und das im winkel von 30° steht, dann müsste der sinus wenn nur im zähler auftauchen. Beiträge aus den bereichen physik, chemie und mathematik, wie nanotechnologie, quantenphysik, lasertechnik, robotik und materialforschung Wir diskutieren die beziehung zwischen drehimpuls, drehmoment und präzessionsfrequenz am beispiel der präzessionsbewegung eines rades: Das durch das eigengewicht mg erzeugte drehmoment

Oomyn6s6ul4cem
Oomyn6s6ul4cem from www.yumpu.com
Drehzahl des fräsmotors in der formel zur vorschubberechnung eingesetzt werden. Das frenquenzalanysemodul dient der berechnung der eigenfrequenzen (resonanzen) der vibrationen einer struktur und deren muster. A ct attenuation ≤ 10 hu, more than 10% negative. Wenn mgr jetzt das drehmoment ist und das im winkel von 30° steht, dann müsste der sinus wenn nur im zähler auftauchen. Winkelgeschwindigkeit der präzession winkelgeschwindigkeit des kreisels trägheitsmoment des kreisels das durch die schwerkraft erzeugte drehmoment abstand zwischen der aufhängung und dem schwerpunkt des kreisels bzw. Diese proportionalität ist ein wesentlicher grund für den trend zu höheren feldern in der nmr: Definition und natur der frequenz. Die geschwindigkeit der kreiselbewegungen, die präzessionsfrequenz, hängt von der stärke des magnetfeldes ab, sie wird als larmorfrequenz bezeichnet.

Diskutieren sie diese offentsichtlich paradoxe aussage.

Der widerstand des kreisels äußert sich dabei als kreiselwirkung, die beim symmetrischen schweren kreisel im dynamischen gleichgewicht mit dem moment der gewichtskraft sein kann, wenn die eigendrehung um die figurenachse. Präzessionsfrequenz 1 definition die larmorfrequenz beschreibt in der quantenmechanik die frequenz der präzessionsbewegung eines elementarteilchens in einem externen magnetfeld. Definition und natur der frequenz. Anschaulich zeigt sich die präzession beim tischkreisel, der trotz schiefstellung nicht umkippt. Berechnung von eigenfrequenzen mit felyx tacoma narrows bridge, usa, 7. Der verdrängten flüssigkeit (siehe seite 3) masse des kreisels fallbeschleunigung N = 15923 u/min aus obiger. Die vorschubgeschwindigkeit des fräsers wird über folgende formel berechnet. Wie groß ist die präzessionsfrequenz des kreisels? = da eine anzahl der sich periodisch wiederholenden vorgänge das zeitintervall = ⋅ benötigt, gilt ebenso: Winkelgeschwindigkeit der präzession winkelgeschwindigkeit des kreisels trägheitsmoment des kreisels das durch die schwerkraft erzeugte drehmoment abstand zwischen der aufhängung und dem schwerpunkt des kreisels bzw. Die frequenzanalyse ist eine methode zur ermittlung der signaleigenschaften anhand der frequenzbereichanalyse. Gen formel nur für kleine winkelgeschwindigkeiten annähernd richtig.

Anschaulich zeigt sich die präzession beim tischkreisel, der trotz schiefstellung nicht umkippt. Diese proportionalität ist ein wesentlicher grund für den trend zu höheren feldern in der nmr: Die empfindlichkeit ist damit um einen faktor 100 gestiegen. Die präzession bezeichnet die richtungsänderung, die die rotationsachse eines rotierenden körpers ausführt, wenn eine äußere kraft ein drehmoment senkrecht zu dieser achse ausübt. Said functional units include a field force generator (fkg) consisting of field batteries (fb), e.g.

De10112625b4 Method For Forming Frequency And Or Amplitude Modulated Electromagnetic Pulses For Inducing Adiabatic Transfer Processes In Quantum Mechanical Systems Google Patents
De10112625b4 Method For Forming Frequency And Or Amplitude Modulated Electromagnetic Pulses For Inducing Adiabatic Transfer Processes In Quantum Mechanical Systems Google Patents from patentimages.storage.googleapis.com
N = 15923 u/min aus obiger. = da eine anzahl der sich periodisch wiederholenden vorgänge das zeitintervall = ⋅ benötigt, gilt ebenso: Das durch das eigengewicht mg erzeugte drehmoment Gen formel nur für kleine winkelgeschwindigkeiten annähernd richtig. Präzessionsfrequenz 1 definition die larmorfrequenz beschreibt in der quantenmechanik die frequenz der präzessionsbewegung eines elementarteilchens in einem externen magnetfeld. Anschaulich zeigt sich die präzession beim tischkreisel, der trotz schiefstellung nicht umkippt. Unser physik video zeigt euch die antwort und erklärt den periodischen vorgang!weitere interessant. Medizinische relevanz erhält die larmorfrequenz im rahmen der magnetresonanztomographie.

Drehzahl des fräsmotors in der formel zur vorschubberechnung eingesetzt werden.

Dabei beschreibt die rotationsachse einen umlauf auf dem mantel eines gedachten kegels mit fester kegelachse. Präzessionsfrequenz 1 definition die larmorfrequenz beschreibt in der quantenmechanik die frequenz der präzessionsbewegung eines elementarteilchens in einem externen magnetfeld. Beiträge aus den bereichen physik, chemie und mathematik, wie nanotechnologie, quantenphysik, lasertechnik, robotik und materialforschung Drehzahl des fräsmotors in der formel zur vorschubberechnung eingesetzt werden. Anschaulich zeigt sich die präzession beim tischkreisel, der trotz schiefstellung nicht umkippt. Die frequenzanalyse ist eine methode zur ermittlung der signaleigenschaften anhand der frequenzbereichanalyse. Wenn mgr jetzt das drehmoment ist und das im winkel von 30° steht, dann müsste der sinus wenn nur im zähler auftauchen. Ihr möchtet wissen, wie man eine frequenz ausrechnen kann? Ois wos tiafa is, meak' ma ois easchüttarungan (infraschoi), ois wos hecha is, meak' ma goa ned (ultraschoi). Mia menschn kennan frequenzn vo 16 hz bis 20000 hz hean. Die beschleunigeranlage im physikalischen institut der uni versität bonn. Die geschwindigkeit der kreiselbewegungen, die präzessionsfrequenz, hängt von der stärke des magnetfeldes ab, sie wird als larmorfrequenz bezeichnet. Said functional units include a field force generator (fkg) consisting of field batteries (fb), e.g.

Die frequenzanalyse ist eine methode zur ermittlung der signaleigenschaften anhand der frequenzbereichanalyse präzession. Die vorschubgeschwindigkeit des fräsers wird über folgende formel berechnet.

Comments